Фото: Страна

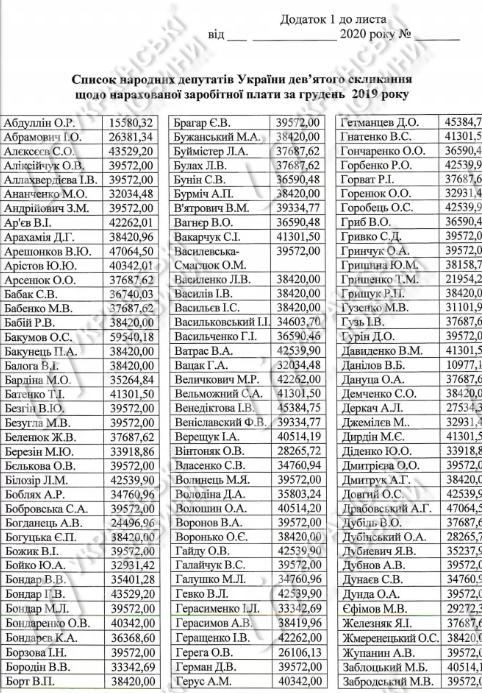
От 32 до 42 тысяч гривен зарплаты получили председатели фракций и групп в Верховной Раде в декабре 2019 года.

Об этом сообщают "Украинские новости" со ссылкой на ответ Верховной Рады на информационный запрос.

В частности, Давид Арахамия на должности председателя фракции "Слуга народа" в декабре получил 38 420,96 грн, его первый заместитель Александр Корниенко - 39 572 грн.

Сопредседатели фракции "Оппозиционная платформа - За життя" Юрий Бойко и Вадим Рабинович получили 32 931,42 грн и 32 034,48 грн соответственно, председатель фракции "Всеукраинское объединение "Батьківщина" Юлия Тимошенко - 39 237,39 грн.

Сопредседатели фракции "Европейская солидарность" Артур Герасимов и Ирина Геращенко за декабрь получили 38 419,96 грн и 42 262 гривны соответственно, глава фракции "Голос" Сергей Рахманин - 40 342 грн.

Сопредседатели группы "За будущее" Виктор Бондар и Тарас Батенко заработали 35 401,28 грн и 41 301,5 грн соответственно, председатель группы "Доверие" Олег Кулинич - 34 487,32 грн.

Самую большую среди нардепов зарплату за декабрь получил депутат от "Оппозиционной платформы" Григорий Мамка - 51 433,36 грн.

Кроме того, депутатам начислили по 76 840 гривен на выполнение депутатских полномочий за декабрь и ноябрь.

список зарплат нардепов

список зарплат нардеповсписок зарплат нардеповсписок зарплат нардепов

Ранее "Страна" писала о том, что зарплата Зеленского оказалась в разы меньше, чем у министров.

Также мы сообщали, что Гончарук дал старт пересмотру заоблачных зарплат топ-менеджеров государственных компаний.

Подпишитесь на телеграм-канал Политика Страны, чтобы получать ясную, понятную и быструю аналитику по политическим событиям в Украине.